98. Validate Binary Search Tree
Medium
Given the root of a binary tree, determine if it is a valid binary search tree (BST).
A valid BST is defined as follows:
- The left subtree of a node contains only nodes with keys less than the node's key.
- The right subtree of a node contains only nodes with keys greater than the node's key.
- Both the left and right subtrees must also be binary search trees.
Example 1:

Input: root = [2,1,3]
Output: true
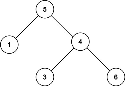
Example 2:

Input: root = [5,1,4,null,null,3,6]
Output: false
Explanation: The root node's value is 5 but its right child's value is 4.
Constraints:
- The number of nodes in the tree is in the range [1, 104].
- -231 <= Node.val <= 231 - 1
문제 풀이
문제 접근
- 노드의 갯수는 크지 않아서, 시간복잡도를 생각하지 않아도 된다.
- 시간복잡도를 떠나서 이진트리관련 문제이기 때문에, 재귀 + 이진탐색으로 접근한다.
- 재귀를 사용하지 않으려면 스택을 사용해서 푼다.
풀이
- 이진 트리를 이해했다면, 부모 숫자의 크기와 자식들의 숫자 크기를 비교할 수 있다.
- 부모의 오른쪽 자식은 부모보다 숫자가 커야한다.
- 왼쪽 자식은 부모보다 숫자가 작아야한다.
- 부모 자식 크기 조건 이외에, 자식의 할아버지도 참고해야한다.
- 문제 설명에도 나와있는데 오른쪽 부분 트리는 부모보다 커야하고 왼쪽 부분 트리는 부모보다 작아야한다.
- 예를 들어 A(조부모), B(오른쪽 부모), C(왼쪽 손자) 라고 했을때 A < C < B 가 되어야 한다.
- 이를 위해, 탐색을 할때 경계 값을 가지고 확인을 해야한다.
- C까지 내려갔을때 경계는 A와 B이다. 즉 A 보다 크고 B 보다 작아야한다.
- 오른쪽으로 탐색할때는 최소값이 A여야하고, 왼쪽으로 탐색할때는 최대값이 B여야한다.
- 재귀호출을 이용하여 매번 왼쪽, 오른쪽 탐색시에 최대, 최소 경계값을 수정하면서 체크하자.
- 경계를 넘어갈 경우 False를 반환, 그게 아닐경우는 True를 반환(2 자식 모두 없을때)하자.
소스 코드
# Definition for a binary tree node.
# class TreeNode:
# def __init__(self, val=0, left=None, right=None):
# self.val = val
# self.left = left
# self.right = right
class Solution:
def isValidBST(self, root: Optional[TreeNode]) -> bool:
def rec(node, maxVal, minVal):
if not node:
return True
if node.val >= maxVal:
return False
if node.val <= minVal:
return False
l = rec(node.left, node.val, minVal)
r = rec(node.right, maxVal, node.val)
return l and r
return rec(root, inf, -inf)'컴퓨터공학 > LeetCode 1000' 카테고리의 다른 글
| [LeetCode] 235. Lowest Common Ancestor of a Binary Search Tree (0) | 2022.08.12 |
|---|---|
| [LeetCode] 314. Binary Tree Vertical Order Traversal (0) | 2022.08.11 |
| [LeetCode] 300. Longest Increasing Subsequence (0) | 2022.08.10 |
| [LeetCode] 108. Convert Sorted Array to Binary Search Tree (0) | 2022.08.10 |
| [LeetCode] 621. Task Scheduler (0) | 2022.07.30 |