108. Convert Sorted Array to Binary Search Tree
Easy
7274385Add to ListShareGiven an integer array nums where the elements are sorted in ascending order, convert it to a height-balanced binary search tree.
A height-balanced binary tree is a binary tree in which the depth of the two subtrees of every node never differs by more than one.
Example 1:

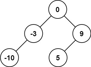
Input: nums = [-10,-3,0,5,9]
Output: [0,-3,9,-10,null,5]
Explanation: [0,-10,5,null,-3,null,9] is also accepted:

Example 2:

Input: nums = [1,3]
Output: [3,1]
Explanation: [1,null,3] and [3,1] are both height-balanced BSTs.
Constraints:
- 1 <= nums.length <= 104
- -104 <= nums[i] <= 104
- nums is sorted in a strictly increasing order.
문제 풀이
문제 접근
- 주어지는 데이터의 크기는 10^4로 크게 시간제약이 없는 듯하다.
- Binary 탐색을 사용해서 풀어야할 것같다.
- 이미 정렬이 되어져 있는 리스트가 있다는 것.
- 이진 탐색으로 배열을 따라갔을때 노드들을 연결하려면 Pre-order 순회 방식을 사용해야한다.
풀이
- 정렬되어 있는 리스트를 높이가 균형인 이진트리로 변형해야한다.
- 트리 모양을 전체적으로 보았을때 부모노드는 항상 가운데 이다.
- 2진 탐색 재귀 방법을 사용하여 원하는 값까지 같은 과정으로 탐색할 수 있다.
- 답으로 제출할 노드를 연결하려면, Pre-order 순회를 사용해야한다.
소스코드
# Definition for a binary tree node.
# class TreeNode:
# def __init__(self, val=0, left=None, right=None):
# self.val = val
# self.left = left
# self.right = right
class Solution:
def sortedArrayToBST(self, nums: List[int]) -> Optional[TreeNode]:
def rec(l, r):
if l > r:
return None
mid = l + (r - l + 1) // 2
temp = TreeNode(nums[mid])
temp.left = rec(l, mid - 1)
temp.right = rec(mid + 1, r)
return temp
root = rec(0, len(nums) - 1)
return root'컴퓨터공학 > LeetCode 1000' 카테고리의 다른 글
| [LeetCode] 98. Validate Binary Search Tree (0) | 2022.08.11 |
|---|---|
| [LeetCode] 300. Longest Increasing Subsequence (0) | 2022.08.10 |
| [LeetCode] 621. Task Scheduler (0) | 2022.07.30 |
| [LeetCode] 916. Word Subsets (0) | 2022.07.30 |
| [LeetCode] 251. Flatten 2D Vector (0) | 2022.07.29 |