653. Two Sum IV - Input is a BST
Easy
Given the root of a Binary Search Tree and a target number k, return true if there exist two elements in the BST such that their sum is equal to the given target.
Example 1:

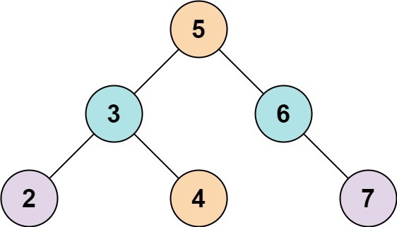
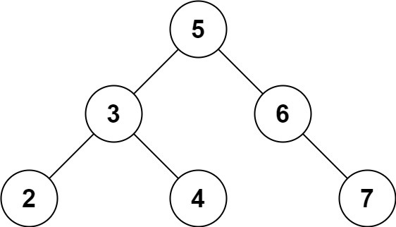
Input: root = [5,3,6,2,4,null,7], k = 9
Output: true
Example 2:

Input: root = [5,3,6,2,4,null,7], k = 28
Output: false
Constraints:
- The number of nodes in the tree is in the range [1, 104].
- -104 <= Node.val <= 104
- root is guaranteed to be a valid binary search tree.
- -105 <= k <= 105
문제 풀이
- 바이너리 트리가 주어지고, 두 숫자의 값이 k 가 같은지 확인하는 문제이다.
- 재귀 함수를 이용하여 트리를 순회한다.
- 해쉬테이블을 만들고, k 에서 현재 노드 값을 뺀 것을 해쉬 테이블에 저장하면서 탐색한다.
- 현재 값이 해쉬 테이블에 있다면 정답처리한다.
- 이전에 목표값에서 숫자를 뺀 값을 미리 저장하고 있기 때문에 가능하다.
코드 소드
# Definition for a binary tree node.
# class TreeNode:
# def __init__(self, val=0, left=None, right=None):
# self.val = val
# self.left = left
# self.right = right
class Solution:
def findTarget(self, root: Optional[TreeNode], k: int) -> bool:
hash_table = dict()
self.ans = False
def bs(node):
if not node:
return
if node.val in hash_table:
self.ans = True
return
hash_table[k - node.val] = 1
bs(node.left)
bs(node.right)
bs(root)
return self.ans
'컴퓨터공학 > LeetCode 1000' 카테고리의 다른 글
| [LeetCode - DiDi Labs 기출 문제] 3Sum Closest (0) | 2022.10.17 |
|---|---|
| [LeetCode] 1328. Break a Palindrome (0) | 2022.10.14 |
| [LeetCode] 16. 3Sum Closest (0) | 2022.10.14 |
| [LeetCode] 974. Subarray Sums Divisible by K (0) | 2022.10.08 |
| [LeetCode] 713. Subarray Product Less Than K (0) | 2022.10.08 |