206 Reverse Linked List
Given the head of a singly linked list, reverse the list, and return the reversed list.
Example 1:

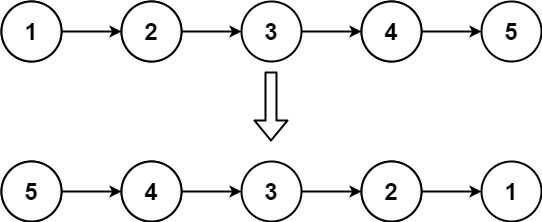
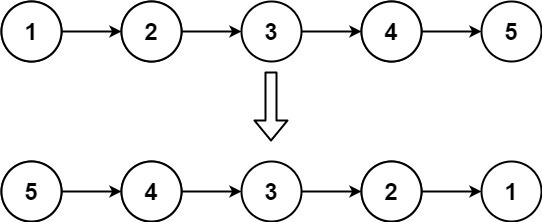
Input: head = [1,2,3,4,5]
Output: [5,4,3,2,1]
Example 2:

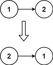
Input: head = [1,2]
Output: [2,1]
Example 3:
Input: head = []
Output: []
Constraints:
- The number of nodes in the list is the range [0, 5000].
- -5000 <= Node.val <= 5000
Follow up: A linked list can be reversed either iteratively or recursively. Could you implement both?
해설 풀이 및 스터디
https://www.youtube.com/watch?v=A3kQnKH10VQ
'컴퓨터공학 > 알고리즘 _ 문제해결' 카테고리의 다른 글
| 1799 백준 비숍 백트래킹 (0) | 2017.02.09 |
|---|---|
| 11778 피보나치 수와 최대공약수 행렬 계산 방법 (0) | 2017.02.06 |
| 1003 번 문제 피보나치 함수 Dynamic Programming (0) | 2017.02.06 |
| 5704 팬그램 문자열 처리 문제 백준 (0) | 2017.01.29 |
| 백준 5026 박사 과정 문자열 처리 (0) | 2017.01.29 |