19. Remove Nth Node From End of List
Medium
Given the head of a linked list, remove the nth node from the end of the list and return its head.
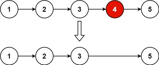
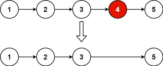
Example 1:

Input: head = [1,2,3,4,5], n = 2
Output: [1,2,3,5]
Example 2:
Input: head = [1], n = 1
Output: []
Example 3:
Input: head = [1,2], n = 1
Output: [1]
Constraints:
- The number of nodes in the list is sz.
- 1 <= sz <= 30
- 0 <= Node.val <= 100
- 1 <= n <= sz
Follow up: Could you do this in one pass?
문제 풀이
- 단방향 링크드 리스트가 주어진다.
- 뒤에서부터 n 만큼 떨어진 노드를 제거해야한다.
- 문제에서 탐색을 한번만 진행하여 풀 수 있는지 에 대한 Follow Up 이 있다.
Two pass
- 더미 노드를 생성해서 해드 노드 이전 노드로 설정한다.
- 링크드리스트의 총길이를 구한다.
- 총길이에서 n 만큼을 빼고, 뺀 길이만큼 더미에서 하나씩 옮겨준다.
- 더미에서 시작했기 때문에 next.next 를 참조해도 참조 에러가 나지 않을 것이다.
- 총 길이에서 뒤에서 n 만큼 떨어진 값을 빼주었기 때문에, 그 값만큼 이동시키면 제거하고자 하는 노드의 이전 노드까지 이동한다.
- 그 노드를 next.next 노드로 연결해준다.
One pass
- 더미 노드를 생성하고 두개의 시작 노드를 생성한다.
- n 만큼 첫번째 시작 노드를 이동시킨다.
- 첫번째 시작노드가 종료될 때까지 첫번째 시작 노드와 두번째 시작 노드를 하나씩 옮겨준다.
- Two pass 와 마찬가지로 더미부터 시작하여 전체 길이에서 n 을 뺀 만큼 두번째 시작 노드를 옮기기 때문에,
- 마지막에 선택 되는 노드는 삭제할 노드 이전 노드이다.
소스 코드
Two pass
class Solution:
def removeNthFromEnd(self, head: Optional[ListNode], n: int) -> Optional[ListNode]:
length = 0
dummy = ListNode(0)
dummy.next = head
cnt = head
while cnt:
length += 1
cnt = cnt.next
length -= n
temp = dummy
for i in range(length):
temp = temp.next
temp.next = temp.next.next
return dummy.next
One pass
class Solution:
def removeNthFromEnd(self, head: Optional[ListNode], n: int) -> Optional[ListNode]:
dummy = ListNode(0)
dummy.next = head
first = dummy
second = dummy
for i in range(0, n + 1):
first = first.next
while first:
first = first.next
second = second.next
second.next = second.next.next
return dummy.next'컴퓨터공학 > LeetCode 1000' 카테고리의 다른 글
| [LeetCode] 658. Find K Closest Elements (0) | 2022.09.30 |
|---|---|
| [LeetCode] 967. Numbers With Same Consecutive Differences (0) | 2022.09.29 |
| [LeetCode] 113. Path Sum II (0) | 2022.09.28 |
| [LeetCode] 838. Push Dominoes (0) | 2022.09.28 |
| [LeetCode] 985. Sum of Even Numbers After Queries (0) | 2022.09.27 |