124. Binary Tree Maximum Path Sum
Hard
A path in a binary tree is a sequence of nodes where each pair of adjacent nodes in the sequence has an edge connecting them. A node can only appear in the sequence at most once. Note that the path does not need to pass through the root.
The path sum of a path is the sum of the node's values in the path.
Given the root of a binary tree, return the maximum path sum of any non-empty path.
Example 1:

Input: root = [1,2,3]
Output: 6
Explanation: The optimal path is 2 -> 1 -> 3 with a path sum of 2 + 1 + 3 = 6.
Example 2:

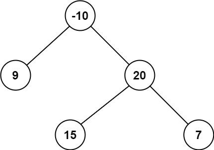
Input: root = [-10,9,20,null,null,15,7]
Output: 42
Explanation: The optimal path is 15 -> 20 -> 7 with a path sum of 15 + 20 + 7 = 42.
Constraints:
- The number of nodes in the tree is in the range [1, 3 * 104].
- -1000 <= Node.val <= 1000
문제 풀이
- 이진 트리에서 만든 경로 중 가장 최대값을 가지는 값을 출력해야한다.
- 노드는 한번만 방문할 수 있고, 루트노드를 포함하지 않아도 돈다.
- 재귀호출을 사용해서 푸는데, 노드는 음수를 가지고 있다는것을 명심해야한다.
- 문제에서 경로라고 일컫는 것은 노드들끼리 연결되어있는 선이라고 생각할 수 있다.
- 즉, 왼쪽 자식들 중 하나를 선택하고 오른쪽 노드들 중 하나에 도착해야한다고 생각할 수 있다.
- 예외적으로 왼쪽, 오른쪽을 선택 안할 수도 있다.
- 예를 들어 아래의 트리가 존재할때, 최대 경로를 구한다고 가정해보자.
- 7
- -2 2
- 여기서 7 + 2 = 9 로 답이 나와야한다.
- 즉, 재귀호출로 현재 해당 노드 위치에서 왼쪽, 오른쪽, 현재 노드의 값을 모두 더해서 최대값을 저장하지만
- 반환할 때는, 현재 노드와 왼쪽을 선택하거나 현재 노드와 오른쪽을 선택한 노드 값의 총합을 반환한다.
- 그리고 재귀호출에서 반환받은 값, 왼쪽, 오른쪽은 최대값 처리를 하여 선택했을때의 값 혹은 0을 선택하게 만든다.
- 1. 재귀함수는 매번 전체 선택값의 최대 값을 정답으로 저장한다.
- 2. 현재 노드와 왼쪽, 오른쪽 노드를 선택한 값 중에 큰 값을 반환한다.
- 3. 재귀함수에서 반환 받은 값과 0을 비교하여 음수 값은 제거한다.
소스 코드
# Definition for a binary tree node.
# class TreeNode:
# def __init__(self, val=0, left=None, right=None):
# self.val = val
# self.left = left
# self.right = right
class Solution:
def maxPathSum(self, root: Optional[TreeNode]) -> int:
self.ans = float('-inf')
def dfs(node):
if not node:
return 0
left = max(dfs(node.left), 0)
right = max(dfs(node.right), 0)
path = left + right + node.val
self.ans = max(self.ans, path)
return node.val + max(left, right)
dfs(root)
return self.ans'컴퓨터공학 > LeetCode 1000' 카테고리의 다른 글
| [LeetCode] 131. Palindrome Partitioning (0) | 2022.11.10 |
|---|---|
| [LeetCode] 130. Surrounded Regions (0) | 2022.11.09 |
| [LeetCode] 84. Largest Rectangle in Histogram (0) | 2022.11.09 |
| [LeetCode] 25. Reverse Nodes in k-Group (1) | 2022.11.03 |
| [LeetCode] 23. Merge k Sorted Lists (0) | 2022.11.03 |